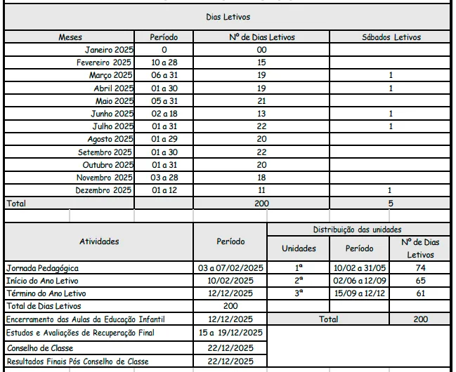
O Conselho Municipal de Educação (CME) de Brumado, aprovou o Calendário Escolar da Rede Municipal de Ensino para o Ano Letivo de 2025. A decisão foi tomada durante a Sessão Plenária realizada no dia 20 de dezembro de 2024, com base na Lei Municipal 1.612, de 20 de setembro de 2010, que estabelece as diretrizes para a organização do ensino no município. De acordo com a Resolução publicada, o ano letivo terá início no dia 10 de fevereiro de 2025 e se estenderá até 12 de dezembro do mesmo ano. O calendário foi elaborado seguindo as disposições do Artigo 11, incisos VII e VIII, e do Artigo 17, inciso XI da Lei Municipal 1.612, que garantem a adequação do período escolar às necessidades pedagógicas e à realidade local. Confira abaixo o calendário completo:
Brumado: Prefeito Fabrício Abrantes discursa na Jornada Pedagógica da rede municipal de ensino
04 Fev 2025 // 14:05 Por - Wilker Porto / Agora Sudoeste
Na manhã desta terça-feira (04/02), o prefeito de Brumado, Fabrício Abrantes (Avante), participou da abertura oficial da Jornada Pedagógica 2025, evento que reúne professores e profissionais da educação municipal para planejar e discutir as diretrizes do ano letivo. O encontro aconteceu no Clube Social, onde o prefeito destacou a importância da educação como pilar fundamental para o desenvolvimento da cidade. Em seu discurso, Fabrício Abrantes desejou um ano letivo produtivo e abençoado para todos os educadores. “Que esse possa ser um ano letivo abençoado para todas as pessoas que fazem a nossa Educação. Uma manhã maravilhosa. Esse é o time que constrói o futuro de Brumado”, afirmou o prefeito, ressaltando o papel essencial dos professores na formação das novas gerações. A Jornada Pedagógica teve início na segunda-feira (03/02) e segue até esta quarta-feira (05/02), com programações específicas para diferentes segmentos da educação municipal. Nesta terça-feira, as atividades foram realizadas no Clube Social, enquanto na quarta-feira, o evento será sediado na Escola Municipal de Tempo Integral Emerson Kawã, exclusivamente para educadores da Educação Infantil.
Prefeitura de Brumado ainda não confirma realização do carnaval 2025
04 Fev 2025 // 12:00 Por Wilker Porto / Agora Sudoeste
Faltando apenas 24 dias para o período oficial do carnaval, a Prefeitura de Brumado ainda não confirmou se realizará ou não a festa momesca na cidade em 2025. Até o momento, não houve nenhum anúncio oficial sobre a organização do evento. O Agora Sudoeste apurou que a administração municipal deve se pronunciar em breve para esclarecer se a festividade será realizada em outra data ou se será cancelada definitivamente neste ano. A incerteza sobre a realização do carnaval em Brumado contrasta com a programação de outras cidades baianas, que já divulgaram suas atrações e investimentos para o evento. A expectativa agora é que o município tome uma decisão oficial o quanto antes, trazendo esclarecimentos à comunidade e aos setores envolvidos na festividade.
A Med Sudoeste, referência em atendimento médico e serviços de diagnóstico, anunciou a ampliação de seus canais de atendimento telefônico para oferecer mais comodidade aos pacientes. Agora, a unidade conta com um novo número de telefone, além do já disponível WhatsApp para agendamentos e informações. Os números atualizados são: (77) 99948-7421 (Telefone) e (77) 3441-4443 (WhatsApp). Além da novidade nos contatos, a Med Sudoeste também está atendendo em uma nova sede, localizada na Rua Marechal Deodoro da Fonseca, nº 64, no centro da cidade, próximo ao Sebrae. O novo espaço foi planejado para garantir mais conforto e eficiência no atendimento aos pacientes.
Homem é baleado durante tentativa de assalto na zona rural de Brumado; vítima deu entrada no Hospital Municipal
04 Fev 2025 // 10:00 Por Wilker Porto / Agora Sudoeste
Um homem de 44 anos, que não teve sua identidade revelada, foi baleado durante uma tentativa de assalto no Distrito de Itaquaraí, zona rural de Brumado. O caso ocorreu na madrugada do último sábado (1º), por volta das 1h. A vítima deu entrada no Hospital Municipal após ser atingida por um disparo no antebraço esquerdo. De acordo com o relato da vítima à polícia, ele circulava de motocicleta quando foi abordado por criminosos. Ao reagir à tentativa de assalto, acabou sendo baleado. Mesmo ferido, o homem conseguiu conduzir a moto até o Povoado da Cacimbinha, onde foi socorrido por um familiar, que o levou ao Hospital Municipal para receber atendimento médico. O estado de saúde da vítima não foi divulgado em detalhes.
Quando se trata da manutenção do seu veículo, a troca de óleo é um dos cuidados essenciais para garantir o bom funcionamento do motor e prolongar sua vida útil. Para os motoristas de Brumado e região, Mateus Auto Center é o destino ideal para esse serviço crucial. Localizada na Avenida Centenário, 581, a Mateus Auto Center tem se destacado como uma referência em serviços automotivos de qualidade na cidade. Com uma equipe especializada e comprometida em oferecer um atendimento diferenciado. Para agendar a troca de óleo do seu carro ou obter mais informações sobre os serviços oferecidos pela Mateus Auto Center, entre em contato pelo telefone 77 99822-2027. Não deixe a manutenção do seu veículo para depois. Confie na expertise da Mateus Auto Center e mantenha seu carro sempre em perfeitas condições de funcionamento.
Prefeito de Brumado e vereador participam de velório do ex-governador Newton Cardoso em Belo Horizonte
03 Fev 2025 // 16:28 Por Wilker Porto / Agora Sudoeste
Nesta segunda-feira (03), o prefeito de Brumado, Fabrício Abrantes (Avante), e o vereador Rey de Domingão (Avante) estiveram presentes no velório do ex-governador de Minas Gerais, Newton Cardoso (MDB). A cerimônia foi realizada no Palácio da Liberdade, em Belo Horizonte, e reuniu familiares, autoridades e lideranças políticas. Newton Cardoso faleceu na madrugada de domingo (02), aos 86 anos, devido a complicações de saúde. Embora tenha consolidado sua carreira política em Minas Gerais, ele nunca deixou de manter laços com Brumado, sua cidade natal, onde passou parte da infância. Durante a cerimônia, Fabrício Abrantes e Rey de Domingão prestaram condolências à família e ressaltaram a importância de Newton Cardoso para a política nacional. "Ele foi uma figura de grande expressão política e administrativa, deixando um legado importante para Minas Gerais e para todo o Brasil", destacou o prefeito de Brumado. No velório, Abrantes e Rey também se encontraram com o governador de Minas Gerais, Romeu Zema, e o Newlton Cardoso Jr, filho do brumadense e demais lideranças políticas que compareceram para homenagear o ex-governador.
Câmara de Brumado remarca Sessão Solene de abertura dos trabalhos legislativos de 2025 devido à morte do ex-servidor Dilmar Matos Amorim
03 Fev 2025 // 15:15 Por - Wilker Porto / Agora Sudoeste
O presidente da Câmara Municipal de Brumado, Rúbens Araújo, publicou nesta segunda-feira (03/02) o Ato da Presidência nº 03/2025, que altera a data da Sessão Solene de Abertura dos Trabalhos Legislativos de 2025. Originalmente prevista para o dia 03 de fevereiro, a sessão foi remarcada para a próxima sexta-feira, 07 de fevereiro de 2025, às 9h, no plenário da Câmara. A decisão foi tomada em virtude de dois acontecimentos que marcaram a cidade de Brumado nos últimos dias: o falecimento do ilustre brumadense Dr. Newton Cardoso, ocorrido no domingo (02/02), e a morte do ex-servidor da Câmara Dilmar Matos Amorim, na manhã desta segunda-feira (03/02). Ambos os casos motivaram a declaração de Luto Oficialno município, conforme o Decreto Municipal nº 033/2025. Em seu ato, o presidente Rúbens Araújo destacou que a sessão inicialmente programada para esta segunda-feira teria caráter solene e festivo, conforme previsto no artigo 9º do Regimento Interno. Diante do momento de luto e da necessidade de reorganização dos trabalhos legislativos, a remarcação foi considerada essencial para garantir a continuidade das atividades parlamentares sem prejuízo ao calendário estabelecido. O Ato da Presidência nº 03/2025 estabelece ainda que a decisão seja amplamente divulgada nos meios oficiais da Câmara, comunicando formalmente os vereadores, as autoridades convidadas e a comunidade em geral. A medida entra em vigor imediatamente, revogando o Ato da Presidência nº 01/2025, que havia definido a data original da sessão.
Brumado: Morre aos 68 anos Dilmar Matos Amorim
03 Fev 2025 // 13:07 Por - Wilker Porto / Agora Sudoeste
Na manhã desta segunda-feira (03), Brumado lamentou a morte de Dilmar Matos Amorim, de 68 anos, vítima de um infarto. Dilmar havia sido internado na última sexta-feira (31/01) após sofrer o ataque cardíaco, mas não resistiu e faleceu no hospital. Conhecido por sua atuação ativa na política local, Dilmar Matos Amorim era uma figura querida e respeitada na comunidade. A notícia de seu falecimento causou comoção entre familiares e amigos. "Nós do Agora Sudoeste nos solidarizamos com a família de Dilmar Matos Amorim neste momento de profunda dor”. O corpo está sendo velado na Câmara de Vereadores de Brumado. O Sepultamento acontecerá nesta terça-feira (04) as 10:00hs, no cemitério Senhor do Bonfim.
SMTT anuncia mudança no trânsito da Rua Hermes Santos para aumentar segurança no bairro Olhos D’Água
03 Fev 2025 // 11:49 Por - Wilker Porto / Agora Sudoeste
A Superintendência Municipal de Trânsito e Transportes (SMTT) de Brumado informou, por meio de comunicado, que realizará uma alteração significativa no tráfego da Rua Hermes Santos, localizada no bairro Olhos D’Água. A medida tem como principal objetivo aumentar a segurança viária na via, que apresenta um declive acentuado e, por isso, requer atenção redobrada de motoristas e pedestres. A principal mudança será a inversão do sentido da Rua Hermes Santos, que passará a fluir em direção à Rua Plínio Santos. De acordo com a SMTT, a alteração visa reduzir a velocidade dos veículos no trecho mais íngreme, minimizando os riscos de acidentes e facilitando manobras em situações de emergência. A expectativa é que a nova configuração torne o trânsito mais seguro e organizado para todos os usuários da via. Para garantir a eficácia da mudança, serão instaladas sinalizações verticais e horizontaisao longo da Rua Hermes Santos, orientando motoristas e pedestres sobre a nova configuração do trânsito. Além disso, placas informativas serão posicionadas nos acessos à via para alertar sobre a mudança iminente. A implementação das alterações terá início nos próximos 15 dias, com previsão de conclusão dentro desse mesmo período.
Câmara Municipal de Brumado emite nota de pesar pelo falecimento de Newton Cardoso
03 Fev 2025 // 10:00 Por - Wilker Porto / Agora Sudoeste
A Câmara Municipal de Vereadores de Brumado, por meio de seu presidente, vereador Rúbens Araújo, manifestou profundo pesar pelo falecimento do ilustre brumadense Dr. Newton Cardoso, ocorrido na madrugada deste domingo, 2 de fevereiro de 2025, em Belo Horizonte, aos 86 anos. Nascido em Brumado, Newton Cardoso deixou um legado marcante na política e no setor empresarial, sendo reconhecido como uma das figuras mais influentes de sua geração. Em nota oficial, a Câmara Municipal destacou a trajetória brilhante de Newton Cardoso, que incluiu três mandatos como prefeito de Contagem, além de atuações como deputado federal, vice-governador e governador de Minas Gerais entre 1987 e 1991. Sua dedicação ao desenvolvimento regional e sua visão empreendedora foram fundamentais para projetar o nome de Brumado e inspirar gerações de líderes e cidadãos. "Newton Cardoso foi um exemplo de compromisso com o progresso e a justiça social. Sua história de vida e suas conquistas políticas e empresariais elevam o nome de nossa terra e servem como inspiração para todos nós. Brumado perde um de seus filhos mais ilustres, mas seu legado permanecerá vivo em nossa memória e em nossas ações", afirmou o presidente Rúbens Araújo.
Câmara de Vereadores de Brumado retoma trabalhos legislativos com sessão solene nesta segunda-feira (03/02)
03 Fev 2025 // 08:23 Por - Wilker Porto / Agora Sudoeste
A Câmara Municipal de Brumado retoma seus trabalhos legislativos nesta segunda-feira (03/02) com uma sessão solene marcada para as 18h30. A reunião contará com a presença dos 15 vereadores que compõem a casa legislativa, representando diversos partidos políticos e as demandas da população brumadense. A sessão solene é um momento importante para a retomada das atividades parlamentares, onde são discutidos projetos, propostas e ações que impactam diretamente a vida dos cidadãos. Confira a lista dos vereadores que participarão da sessão: João Vitor Moura Vasconcelos (Avante); Carlos Magno de Souza Novais (Maguinho) (MDB); Deuvair de Lima Messias (Vadim) (PCdoB); Casimiro Silveira Filho (Miro) (PSD); Aroldo dos Santos Meira (PSB); Juvencio Rubens de Souza Araujo (Rubão) (PP); Luiz Carlos Caires da Silva (Palito) (PP); Harley Souza Lopes (Republicanos); Alípio da Costa Santos (Porrada) (PP); Vanderlei Bastos Miranda (Boca) (Avante); Verimar Dias da Silva Meira (PT); Francisco Ramos Justino (Bizunga) (PC do B); Reinaldo de Almeida Brito (Rey) (Avante) e Glaudson Dias Lima (PSB) e José da Silva Santos (Santinho) (Republicanos). A sessão solene é aberta ao público, e a população está convidada a acompanhar os trabalhos legislativos, que são fundamentais para a transparência e o fortalecimento da democracia.
Prefeito de Brumado decreta luto oficial de sete dias pela morte de Newton Cardoso
02 Fev 2025 // 10:02 Por - Wilker Porto / Agora Sudoeste
O prefeito de Brumado, Fabrício Abrantes (Avante), manifestou profundo pesar pelo falecimento do empresário e político brumadense Newton Cardoso, ex-governador de Minas Gerais. Em nota oficial, o prefeito lamentou a perda de uma figura emblemática para a cidade e para o Brasil, destacando a trajetória de sucesso e o legado deixado por Newton. "Recebi com tristeza a notícia do falecimento do empresário e político brumadense Newton Cardoso. Símbolo de uma Brumado forte e empreendedora, Newton foi Deputado Federal, Prefeito de Contagem e Governador de Minas Gerais, projetando a nossa cidade para todo o Brasil", afirmou Fabrício Abrantes. Newton Cardoso, que faleceu nesta quinta-feira, foi uma das personalidades políticas mais influentes de sua época. Nascido em Brumado, ele construiu uma carreira marcada por conquistas e contribuições significativas, tanto no setor público quanto no privado. Sua atuação como governador de Minas Gerais e prefeito de Contagem consolidou seu nome como um líder visionário e dedicado ao desenvolvimento regional. O prefeito Fabrício Abrantes relembrou ainda o apoio recebido de Newton Cardoso em suas duas campanhas eleitorais. "Tive o privilégio de ser apoiado por ele nas minhas duas eleições e serei eternamente grato a ele por sua lealdade. Compartilho com Newton Cardoso o desejo de ver nossa cidade melhor e sempre terei o seu exemplo como um estímulo para trabalhar incansavelmente pelo nosso povo", declarou. Em solidariedade à família e aos amigos de Newton Cardoso, o prefeito decretou luto oficial de sete dias em Brumado.
Evoestágios e CDL de Brumado abrem vagas de estágio para estudantes; saiba como participar
01 Fev 2025 // 12:51 Por - Wilker Porto / Agora Sudoeste
Jovens estudantes de Brumado, atenção! Chegou a oportunidade que muitos esperavam para dar o primeiro passo na carreira profissional. A Evoestágios, em parceria com a CDL de Brumado, está com vagas abertas para estágio em diversas áreas. A iniciativa é voltada para estudantes do ensino médio, técnico e superior que desejam ganhar experiência e se preparar para o mercado de trabalho. Para concorrer a uma das vagas disponíveis, os interessados devem enviar seu currículo para o WhatsApp (77) 9 9864-5069. Além disso, é possível conferir todas as oportunidades abertas no perfil oficial da Evoestágios no Instagram, @evoestagiosbrumado, ou participar do Grupo de Vagas no WhatsApp, onde são divulgadas atualizações sobre novas vagas e processos seletivos.
Mulher morre em acidente de moto no Bairro Santa Tereza, em Brumado
01 Fev 2025 // 07:29 Por - Wilker Porto / Agora Sudoeste
Na tarde desta sexta-feira (31), um grave acidente de trânsito resultou na morte de uma motociclista na cidade de Brumado. De acordo com informações do 24º Batalhão de Polícia Militar (BPM), a corporação foi acionada pelo Centro Integrado de Comunicação (Cicom) por volta das 13h29 para atender a ocorrência na Rua Sebastião Nonato Lobo, no Bairro Santa Tereza. Ao chegarem ao local, os policiais encontraram a equipe do Serviço de Atendimento Móvel de Urgência (Samu 192), que já havia constatado o óbito da vítima, identificada como Elane Cristina Lobo Porto, de 45 anos. Câmeras de segurança da via flagraram o momento em que Elane perdeu o controle da motocicleta e colidiu contra a parede de uma residência. Com o impacto, a mulher não resistiu aos ferimentos. A área foi isolada até a chegada do Departamento de Polícia Técnica (DPT), que realizou a perícia no local. O corpo foi encaminhado ao Instituto Médico Legal (IML) de Brumado.
Brumado: hoje tem o Tardizinha Folia; confira a programação
01 Fev 2025 // 07:05 Por - Wilker Porto / Agora Sudoeste
O tão esperado Tardezinha Folia chegou! Neste sábado, o evento promete agitar Brumado, na Bahia, com uma programação repleta de atrações musicais e muita animação. A festa, que já se tornou tradição na região, acontecerá no Sítio Lagoa do Meio, a partir das 17 horas, e contará com uma estrutura completa para receber os foliões. O evento terá início às 17 horas ao lado do Clube Social de Brumado, seguindo para a Lagoa do Meio onde às 19h tem o primeiro show com Pegada do Max. Às 21 horas, é a vez de Chris Pimenta comandar a festa, seguido por Patrick Polentinha às 23 horas. O encerramento fica por conta do Fluxo do J, que promete levar o público ao delírio a partir da 1 hora da madrugada. O Tardezinha Folia é uma festa de camisa, e os ingressos são limitados. Para quem ainda não garantiu o seu, a dica é correr! As últimas camisas estão à venda no Bar Tardizinha. O local do evento, o Sítio Lagoa do Meio, foi preparado para receber os foliões com toda a estrutura necessária. Não perca tempo! Garanta já sua camisa.
Prefeito de Brumado recebe ônibus escolar do Governo da Bahia
31 Jan 2025 // 11:04 Por - Wilker Porto / Agora Sudoeste
O município de Brumado recebeu um novo ônibus escolar para reforçar o transporte dos alunos da Rede Municipal de Ensino. O veículo foi entregue pelo governador Jerônimo Rodrigues (PT) ao prefeito Fabrício Abrantes (Avante)nesta quinta-feira (30). A aquisição do ônibus faz parte das ações do Governo da Bahia para melhorar a infraestrutura do transporte escolar nos municípios. O prefeito comemorou a chegada do veículo, destacando que ele já estará disponível para os estudantes no retorno às aulas. "Sabe como eu voltei de Salvador? De ônibus novinho! Ontem recebi mais um veículo para Brumado. Dessa vez foi um ônibus escolar que já estará pronto para transportar os alunos da Rede Municipal na volta às aulas. Obrigado ao governador Jerônimo Rodrigues, que tem tratado Brumado com toda atenção e carinho", disse Fabrício Abrantes.
CONSEG de Brumado se reúne com novo comandante do 24º Batalhão da Polícia Militar para alinhar parcerias e projetos
30 Jan 2025 // 12:01 Por - Wilker Porto / Agora Sudoeste
Na última terça-feira, 28 de janeiro, o Conselho de Segurança do Município de Brumado (CONSEG) participou de uma reunião com o Tenente Coronel Eduardo Viana, atual comandante do 24º Batalhão da Polícia Militar (24º BPM). O encontro, considerado extremamente produtivo, teve como objetivo fortalecer a parceria entre as instituições e discutir ações em prol da segurança pública na região. Durante a reunião, os membros do CONSEG tiveram a oportunidade de conhecer a trajetória profissional do Tenente Coronel Eduardo Viana, bem como as perspectivas e prioridades de sua gestão à frente do 24º BPM. O comandante destacou a importância da colaboração entre a Polícia Militar e a comunidade para o desenvolvimento de estratégias eficazes no combate à criminalidade e na promoção da segurança. O CONSEG, por sua vez, reafirmou seu compromisso com a causa e se colocou à disposição para alinhar e executar projetos em parceria com a Polícia Militar.
Brumado: morre Eliene Ribeiro Miranda Santos
30 Jan 2025 // 11:33 Por - Wilker Porto / Agora Sudoeste
É com profundo pesar que Eunápio, esposo, os filhos Guilherme e Raul, os irmãos, sobrinhos e demais familiares comunicam o falecimento de Eliene Ribeiro Miranda Santos. A partida de Eliene deixa uma lacuna imensa no coração de todos que tiveram a honra de conhecê-la. O corpo de Eliene está sendo velado na sede da Maçonaria Aliança Sertaneja, localizada na Rua Joana Angélica, Centro de Brumado. Familiares, amigos e conhecidos estão reunidos para prestar suas últimas homenagens e celebrar a vida de uma pessoa tão querida. O sepultamento está marcado para as 17 horasdesta quarta-feira, no Cemitério Santa Inês.
CDL de Brumado reforça parceria com o 24º Batalhão da Polícia Militar em reunião com novo comandante
30 Jan 2025 // 11:30 Por - Wilker Porto / Agora Sudoeste
A Câmara de Dirigentes Lojistas (CDL) de Brumado esteve reunida nesta quarta-feira na sede do 24º Batalhão da Polícia Militar (24º BPM) para um encontro com o novo comandante da unidade, Tenente-Coronel Eduardo Viana Moreira Júnior. O objetivo do encontro foi fortalecer a parceria entre as instituições e discutir temas essenciais para a segurança pública no município. Durante a reunião, foram abordadas estratégias de colaboração entre a CDL e a Polícia Militar, visando a melhoria da segurança e o desenvolvimento de ações que beneficiem a comunidade. A CDL destacou sua atuação no Conselho de Segurança (CONSEG), onde tem contribuído com avanços e conquistas importantes para a proteção e o bem-estar da população. Representando a CDL, estiveram presentes: Orlando Gomes, Presidente; Delegado do Sicomércio, Fabiano Novaes; Diretor Distrital da FCDL Bahia, Manoel Messias; Gerente Executivo, Fernando Oliveira.
Prefeito de Brumado anuncia que iluminação pública será 100% em LED; instalação já começou
30 Jan 2025 // 08:00 Por - Wilker Porto / Agora Sudoeste
O prefeito de Brumado, Fabrício Abrantes (Avante), anunciou que o município está em processo de modernização da iluminação pública, com a substituição de todas as lâmpadas por modelos de LED. O projeto, intitulado “Brumado Iluminada”, já teve o trabalho de instalação iniciado e promete trazer mais eficiência energética e qualidade para a cidade. Em suas redes sociais, o prefeito destacou: “Anota aí: Brumado vai brilhar muito! Desde o primeiro dia de gestão estamos mapeando alguns pontos da cidade onde existem lâmpadas queimadas e já iniciamos a troca da iluminação nesses locais.” A partir de fevereiro, o programa ganhará ainda mais força com o início das instalações no Bairro Baraúnas. A meta é instalar mais de 50.000 lâmpadas de LED, garantindo que 100% do município seja contemplado com uma iluminação de melhor qualidade e mais econômica.
CIPRv/BRUMADO recupera veículo com restrição de roubo em ação de fiscalização
30 Jan 2025 // 06:30 Por - Wilker Porto / Agora Sudoeste
Na tarde desta quarta-feira (29/01), a Guarnição do TOR (Tático Ostensivo Rural)da Polícia Rodoviária Estadual, vinculada à CIPRv/BRUMADO, realizou a recuperação de um veículo com restrição de roubo no município de Brumado. Durante uma abordagem de rotina, os policiais identificaram uma motocicleta com indícios de irregularidades. Após a fiscalização, foi constatado que o veículo possuía registro de roubo, declarado em 11 de junho de 2018, no município de Brasília-DF. Diante das evidências, a motocicleta foi apreendida e encaminhada à delegacia localpara que as medidas legais cabíveis fossem adotadas.
Brumado: Vereador Harley Lopes e secretário de saúde visitam postos de saúde nos bairros Dr. Juracy e São Jorge
29 Jan 2025 // 17:10 Por Wilker Porto / Agora Sudoeste
Nesta quarta-feira, dia 29, o vereador Harley Lopes (Republicamos) realizou uma visita aos postos de saúde dos bairros Dr. Juracy e São Jorge, em Brumado, acompanhado do secretário municipal de saúde, Dr. Danilo Menezes. A iniciativa teve como objetivo vistoriar as instalações, identificar possíveis melhorias e ouvir as demandas da população que utiliza os serviços de saúde oferecidos nestas unidades. Durante a visita, Harley Lopes e Dr. Danilo Menezes percorreram as dependências dos postos, observando as condições estruturais e funcionais dos locais. Além disso, eles interagiram com os usuários e profissionais de saúde, colhendo sugestões e reclamações para aprimorar o atendimento à comunidade. O vereador destacou a importância de estar próximo da população para entender suas necessidades. "Estamos aqui para analisar as melhorias que podem ser feitas e ouvir os apelos da nossa população, que depende desses serviços. Vamos seguir trabalhando para melhorar a vida do nosso povo", afirmou Harley Lopes.
Se você está procurando economizar nas compras do mês, não perca a oportunidade de conferir as promoções da Quarta Econômica no Disbahia Supermercado. Somente hoje, oferecemos descontos especiais em diversos produtos! Com uma grande variedade de produtos, desde alimentos frescos até produtos de limpeza, você certamente encontrará tudo o que precisa em nosso supermercado. E não se preocupe em gastar muito, pois nossas promoções foram feitas especialmente para ajudar você a economizar! Não perca tempo e venha nos visitar! Estamos localizados na Rua Tenente Amarílio da Silva Leite, 260, Bairro das Flores. Para mais informações, entre em contato pelo telefone 77 3441-3070. E lembre-se, o Disbahia Supermercado é um orgulhoso membro da Rede 7 de supermercados, oferecendo sempre os melhores produtos e preços para você.
‘Tardezinha Folia 2025’ promete agitar Brumado com música e diversão neste sábado (01/2)
28 Jan 2025 // 11:58 Por - Wilker Porto / Agora Sudoeste
Os foliões de Brumado já estão contando os dias para uma das festas mais esperadas do ano: o “Tardezinha Folia 2025”, que acontece neste sábado, 1º de fevereiro, no Sítio Lagoa do Meio. O evento, que começa às 17h, promete reunir muita animação, música de qualidade e um clima de festa inesquecível. Com um line-up de peso, o “Tardezinha Folia 2025” traz atrações que vão agradar a todos os gostos. Confirmaram presença os artistas Pegada do Maxx, Patrick Polentinha, Chris Pimenta e Fluxo do J, cada um com seu estilo único, garantindo uma noite repleta de hits e energia. O evento será no formato festa de camisa, valorizando a exclusividade e o conforto dos participantes. Os ingressos são limitados, o que reforça o caráter especial da festa e a oportunidade de viver uma experiência diferenciada. A organização recomenda que os interessados garantam seus ingressos o quanto antes para não perder a chance de participar. Além da música e da animação, o “Tardezinha Folia 2025” prioriza a segurança e o bem-estar dos foliões.























